どうもこんにちは、エイメイ学院のASKです✋️
先週3月5日(水)は、新高1の準備授業でしたが、そこで伝えた高校数学に必要な3つの力をおさらい
主に以下の3つ
- 計算力
- 基礎力
- 自学力
一つ一つ見ていきましょう
「計算力」は想像以上のレベルで必要
高校数学、とにかく計算量が半端ない
解説の半分は計算している、なんてことも珍しくありません。
しかもところどころジャンプした解説で
1行でもミスったら、答えにたどり着けませんからね。マジでシビアです。
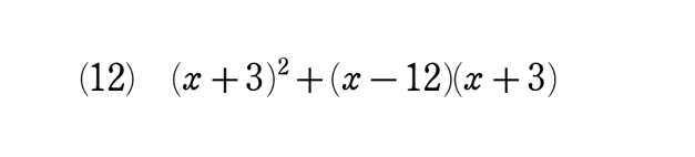
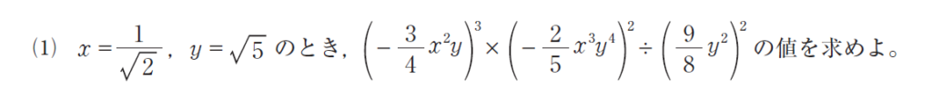
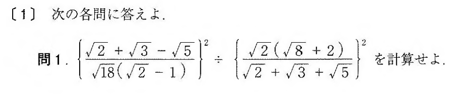
どれくらいの計算レベルか?
計算と聞いてこういうの、想像していませんか?

いいえ、実際にはこれくらいです



このあたり、確実に正確に処理できるようになりたい
授業では、実際の「高校入試問題」を使って、計算処理の練習をしましたね

全問正解は2人だけでした
みんな解き終わりはしたものの、計算ミスやら、途中式が書けていないやら
くー、これからしっかりトレーニングしましょう✋️
圧倒的「基礎力」で盤石な学力を!
これは何度も言っていますね
とにかく基礎が大事、圧倒的基礎
進学校の生徒は、渡される参考書やテキスト、最初からレベルが高いものが多いです
黄チャートとか青チャート、4ステップ、サクシードなどなど
そのため、8割近くの生徒が数学に苦戦する
そこで白チャートです
何度も上げていますが、チャートの難易度表記

「学習の基本」=「基礎」がしっかりと載っているのは白チャートだけ
これを3月中に進めることで、基礎力をつけてから学校の授業や課題に臨みましょう
目標に向けてやり切るための「自学力」
とはいえ、どんなに良い教材でも、続かなくては意味がない
白チャートは、少ない例題を何度も周回することで効果を発揮します
少ないとはいっても、やはり毎日やらないと全く進みません(あたりまえ)
高校準備の授業は1週間でたったの60分
1週間でその学習量、まったく足りていませんよね
だから毎日進めるのが大事です。その際に重要なのが「目標」
どういう高校生活を過ごしたいのか、そこをしっかりとクリアに考えて目標を立てなくては、続きません
部活を一生懸命やりたいなら、勉強は出来るときにしっかりやっておく
テストで高得点を取りたいのなら、いまのウチから予習&習ったあとに復習
受験勉強を早めにするのであれば、白チャートの次の参考書も考えておき、いつまに終わらせるのか決める
などなど、こういったことをちゃんと考えなくてはいけませんよ
うかうかしていると、あっという間に最初の中間テスト、来ますからね
そこの順位が、高校内での勉強の序列になるでしょう
自学力をもって、しっかりと日々過ごしていきましょうね✋️
【PR】ASKの更新情報はコチラ

